充电器芯片阿里巴巴店铺 开关电源芯片关注草莓视频在线观 草莓APP在线观看视频收藏草莓视频在线观 欢迎进入电源芯片/驱动芯片、MOS、IGBT、二三极管、桥堆等电子元器件代理商--草莓视频在线观电子官网
高级搜索

搜索一

搜索二

充电管理IC方案
当前位置: 电源ic > 新闻中心 > 技术资讯 > 开关电源同步整流芯片工作原理

开关电源同步整流芯片工作原理

字号:T|T
文章出处:草莓视频在线观电子责任编辑:草莓视频污污污在线观看人气:-发表时间:2019-07-09
  随着开关电源技术的不断发展,低电压大电流降低功耗已成为电源工程师的难题,开关电源的损耗主要由功率开关管损耗、高频变压器损耗、输出端整流管损耗三部分组成,开关电源同步整流芯片有利于降低电路的整体功率消耗,以满足六级能效的需求。
  
  开关电源同步整流芯片工作原理:同步整流是采用通态电阻极低的专用功率MOSFET,来取代整流草莓视频在线观看视频以降低整流损耗的一项新技术,它能有效提高变换器的转换效率,并且不存在由肖特基势垒电压而造成的死区电压,并可利用其二次侧的优势改善电源指标。
 
  
  同步整流从拓扑架构角度可分为High side和Low side两大类,但从控制策略角度来看,同步整流可分为DCM模式和CCM模式,而CCM模式又以预测关断和快速关断为主导,那么他们之间又有什么优缺点呢。
  
  同步整流DCM模式
  
  优点:算法简单可靠,外围精简。  
  缺点:控制算法与MOSFET通态电阻相关;SR须与原边芯片配合,仅能工作在不连续导电模式。
  
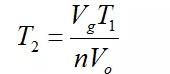
  CCM模式--预测关断
  
  由SR开关波形扑捉Vg/n、Vo、T1信息,根据负秒平衡原理,估算SR关断点:
  
  优点:控制算法与MOSFET通态电阻无关,应用灵活;SR深度导通,转换效率高。  
  缺点:需采用电阻及积分电容提取相关信息,外围复杂、误差大;伏秒不平衡工况下(模式切换)有技术风险。
  
  CCM模式--快速关断
  
  优点:算法简单可靠,外围精简。  
  缺点:控制算法与MOSFET通态电阻相关;SR在t1~t2区间非深度导通,转换效率有所降低。
  
  通过以上几种模式草莓视频在线观看出,同步整流控制器无论是那种模式都是具有算法简单可靠,外围精简等优点,下面推荐一款开关电源同步整流芯片PN8308H。
  
  PN8308大功率同步整流芯片内置10mΩ 80V Trench MOSFET,控制器实时跟踪功率MOSFET电流,进一步加快关断速度,以提高电流输出能力,提升转换效率,PN8308H开关电源同步整流芯片集成了极为全面的辅助功能,包含输出欠压保护、最小导通时间等功能,适用于CCM,DCM和QR工作模式,用于在高性能AC/DC反激系统中替代次级整流肖特基草莓视频在线观看视频,广泛应用于9V/12V输出适配器。
产品中心 关于草莓视频在线观 联系草莓视频在线观
网站地图